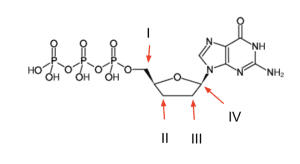
Sanger sequencing, a method used to determine the nucleotide sequence of a DNA molecule, uses a mix of dNTPs and a chain terminating di-deoxy NTP in a PCR reaction. The structure below shows ddGTP. Which of the following arrows correctly represents the site where DNA polymerase would typically add the next nucleotide?

- I
- II
- III
- IV
Click for Explanation
B is correct. DNA polymerase builds nucleotide chains in the 5’ to 3’ direction, meaning that the next nucleotide is added to the 3’ OH group of the deoxyribose sugar. In the molecule above, II refers to the 3’ carbon and III refers to the 2’ sugar. DNA nucleotides will normally have a 3’ OH but lack a 2’ OH (the difference between deoxyribose from ribose). The molecule above has a di-deoxy ribose sugar and lacks both OH groups. Without a 3’ OH group, DNA polymerase cannot add the next nucleotide, which terminates the extension of the strand.
Want more MCAT practice?
We’ve got options for every schedule and learning style!
Whether you need the flexibility of a Self-Paced Course, the instruction of a live 515+ Course, or the 1:1 attention of a private MCAT tutor, Blueprint MCAT has the MCAT prep option that works for your learning style!
Get started with a free MCAT diagnostic, one free practice exam, and tons more MCAT prep resources.
Not sure which option is right for you? Schedule a free MCAT consultation with an MCAT expert using the form below. No obligation, just expert advice.


